Introduction to Data Communications (S1, 2014)
Transmission Media
Lecture Material
Readings
Videos
Notes
- US Frequency Allocation Chart showing the applications/users of frequencies from 3kHz to 300 GHz.
- Cisco antennas reference guide, giving examples of antenna specifications for WiFi, as well as explanation of antenna and propagation concepts
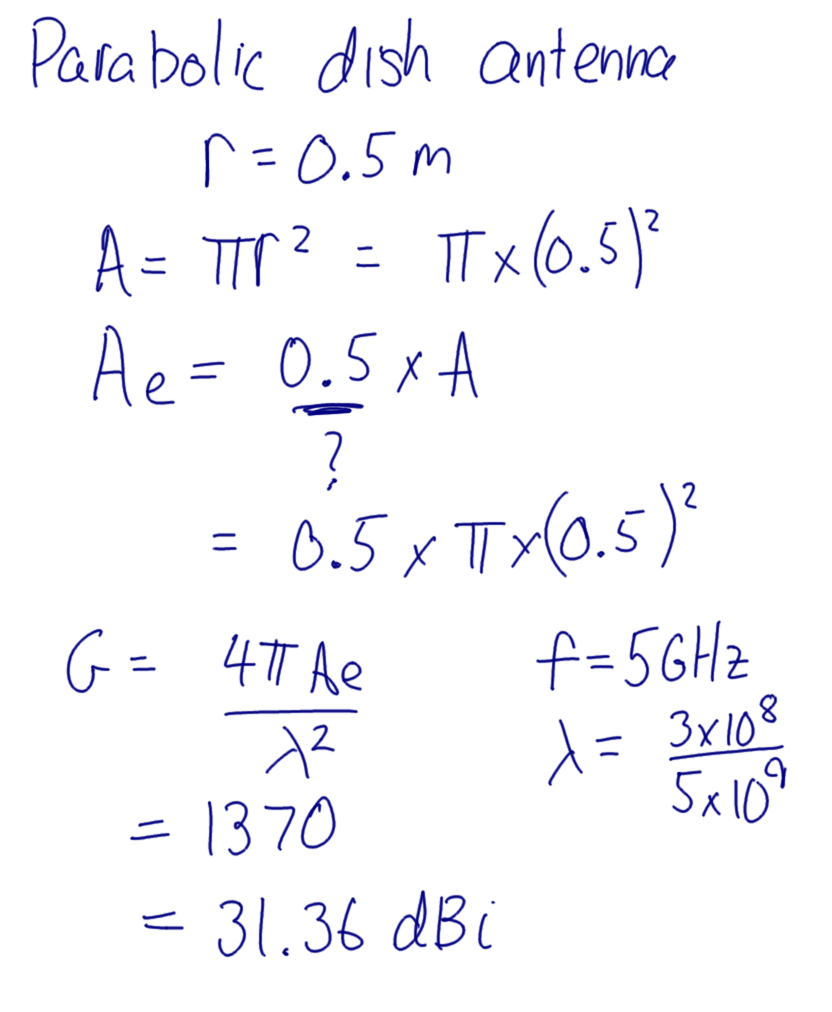
- Notes from the lecture are below. Hover over the image to see a description; right-click and view the image to zoom in. Alternatively you can download a zip archive of all the image or a printable PDF of the notes.

Return to: Course Home | Course List | Steven Gordon's Home | SIIT