Security and Cryptography (S2, 2013)

Key Management and Distribution

Lecture Material

Readings

Videos

Notes

Hover over images to see the title; right-click and view the image to zoom in. Alternatively, download a zip archive with all the images or a printable PDF of the notes.

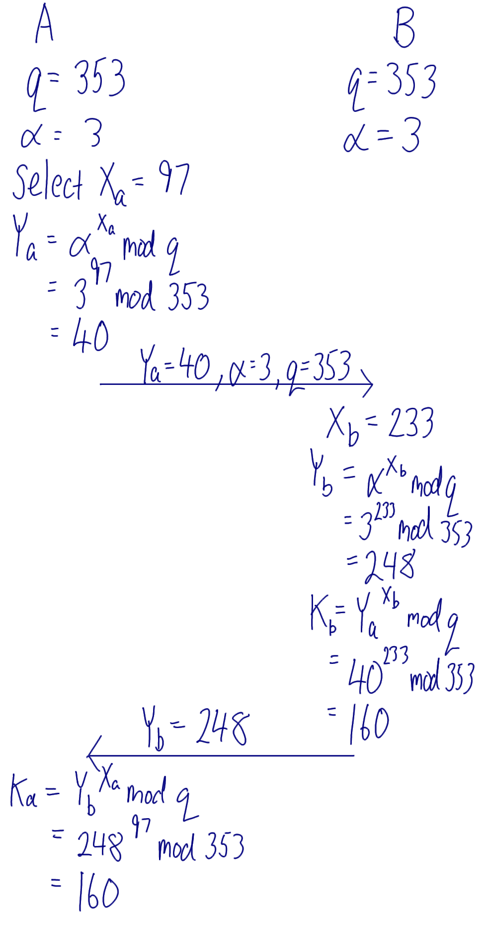
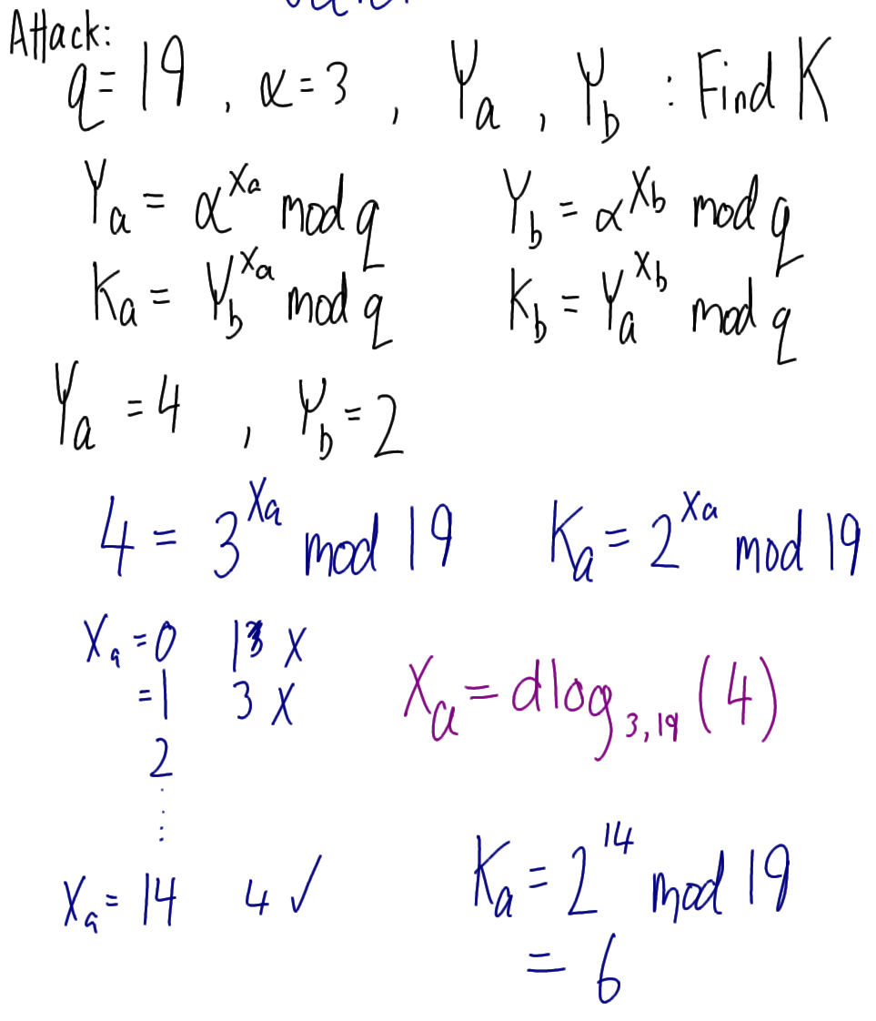
Number of Keys with Link and End-to-End Encryption Decentralised Key Distribution Centralised Key Distribution with KDC Man-in-the-Middle Attack on Public Key Exchange Diffie-Hellman Key Exchange Example Diffie-Hellman Key Exchange Proof of Same Key Diffie-Hellman Key Exchange Attack Diffie-Hellman Key Exchange Example 2 Diffie-Hellman Key Exchange Attack 2 Public Key Authority: Known Keys Certificate generation and signing steps

Return to: Course Home | Course List | Steven Gordon's Home | SIIT